工业锅炉大气污染物基准含氧量排放浓度折算方法
《锅炉大气污染物排放标准》GB13271-2014规定了锅炉烟气中颗粒物、二氧化硫、氮氧化物、汞及其化合物的高允许排放浓度限值和烟气黑度限值。本标准适用于以燃煤锅炉、燃油燃气锅炉单台出力65t/h及以下蒸汽锅炉、各种容量的热水锅炉及有机热载体锅炉;各种容量的层燃炉、抛煤机炉。
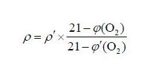
实测的锅炉颗粒物、二氧化硫、氮氧化物、汞及其化合物的排放浓度,应执行GB5468或GB/T16157规定,按公式(1)折算为基准氧含量排放浓度。各类燃烧设备的基准氧含量按表6的规定执行。


式中:
ρ――大气污染物基准氧含量排放浓度,mg/m3;
ρˊ――实测的大气污染物排放浓度,mg/m3;
ψˊ(O2)——实测的氧含量;
ψ(O2)——基准氧含量。
本标准由县级以上人民政府环境保护行政主管部门负责监督实施。在任何情况下,锅炉使用单位均应遵守本标准的大气污染物排放控制要求,采取必要措施保证污染防治设施正常运行。各级环保部门在对锅炉使用单位进行监督性检查时,可以现场即时采样或监测的结果,作为判断排污行为是否符合排放标准以及实施相关环境保护管理措施的依据。
最新产品
同类文章排行
- 氧分析仪的参比气有什么作用
- 3D金属打印过程中的微量氧控制
- 3D打印专用微量氧分析仪
- 保护气氛热处理中的微量氧含量检测
- 烧结砖厂窑炉炉气检测氧含量的重要性
- 为什么要测试铸炼中氧的含量?
- 为什么氧化锆氧传感器可以优化锅炉的燃烧效率?
- 透过氧化锆传感器的工作原理,该如何选择一款适中的传感器?
- 含氧量分析仪投运和停用时应如果处理?
- 烟气氧含量控制之于大气污染的意义
最新资讯文章
您的浏览历史






鄂公网安备 42018502001534号
微信二维码



